Title
题目
Combined molecular subtyping, grading, and segmentation of glioma using multi-task deep learning
结合分子亚型分析、分级与胶质瘤的多任务深度学习分割
Abstract
摘要
Accurate characterization of glioma is crucial for clinical decision making. A delineation of the tumor is also desirable in the initial decision stages but is time-consuming. Previously, deep learning methods have been developed that can either non-invasively predict the genetic or histological features of glioma, or that can automat ically delineate the tumor, but not both tasks at the same time. Here, we present our method that can predict the molecular subtype and grade, while simultaneously providing a delineation of the tumor.
对胶质瘤的准确表征对于临床决策至关重要。在初始决策阶段,肿瘤的界定也是必需的,但这一过程耗时较长。以前,已经开发了深度学习方法,这些方法可以非侵入性地预测胶质瘤的遗传或组织学特征,或者可以自动地划定肿瘤,但不能同时完成这两项任务。在这里,我们介绍我们的方法,它可以预测分子亚型和等级,同时提供肿瘤的划定。
Conclusions
结论
We developed a method that non-invasively predicts multiple, clinically relevant features of glioma.Evaluation in an independent dataset shows that the method achieves a high performance and that it generalizes well to the broader clinical population. This first-of-its-kind method opens the door to more generalizable, insteadof hyper-specialized, AI methods.
我们开发了一种方法,可以非侵入性地预测胶质瘤的多个临床相关特征。在独立数据集的评估显示,该方法具有高性能,并且能够很好地推广到更广泛的临床人群中。这种首创的方法为更具普遍适用性的人工智能方法,而不是高度专业化的方法,开辟了新的道路。
Results
结果
In the independent test set, we achieved an IDH-AUC of 0.90, an 1p/19q co-deletion AUC of 0.85, and agrade AUC of 0.81 (grade II/III/IV). For the tumor delineation, we achieved a mean whole tumor Dice score of 0.84.
在独立测试集中,我们实现了IDH-AUC为0.90,1p/19q共同缺失AUC为0.85,以及分级AUC为0.81(分级II/III/IV)。对于肿瘤划定,我们获得了平均整个肿瘤的Dice分数为0.84。
Method
方法
We developed a single multi-task convolutional neural network that uses the full 3D, structural, preopera tive MRI scans to predict the IDH mutation status, the 1p/19q co-deletion status, and the grade of a tumor, while si multaneously segmenting the tumor. We trained our method using a patient cohort containing 1508 glioma patients from 16 institutes. We tested our method on an independent dataset of 240 patients from 13 different institutes.
我们开发了一个单一的多任务卷积神经网络,使用全三维结构的术前MRI扫描来预测肿瘤的IDH突变状态、1p/19q共同缺失状态以及肿瘤的分级,同时对肿瘤进行分割。我们使用来自16个研究所的1508名胶质瘤患者的病人队列来训练我们的方法。我们在来自13个不同研究所的240名独立数据集的患者上测试了我们的方法。
Figure
图

Fig. 1 Overview of our method. Pre- and post-contrast T1w, T2w, and T2w-FLAIR scans are used as an input. The scans are registered to an
atlas, bias field corrected, skull stripped, and normalized before being passed through our convolutional neural network. One branch of the network segments the tumor, while at the same time the features are combined to predict the IDH status, 1p/19q status, and grade of the tumor.
图 1 我们方法的概览。作为输入,使用前后对比的T1加权、T2加权和T2加权-FLAIR扫描。扫描在通过我们的卷积神经网络之前,被注册到图集上,进行偏差场校正、去颅骨处理,并标准化。网络的一个分支进行肿瘤的分割,同时,特征被组合用于预测IDH状态、1p/19q状态和肿瘤的分级。

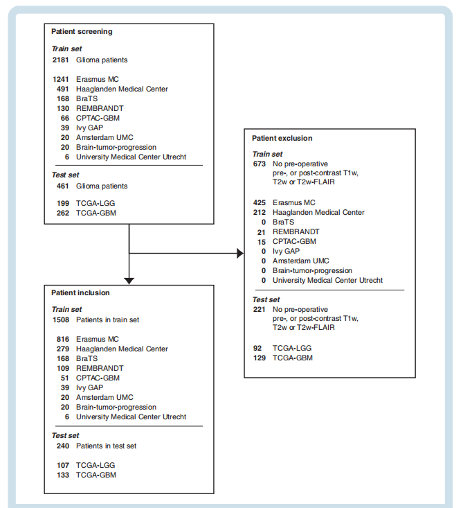
Fig. 2 Inclusion flowchart of the train set and test set.
图 2 训练集和测试集的纳入流程图。

Fig. 3 Receiver operating characteristic (ROC) curves of the genetic and histological features are evaluated on the test set. The crosses indicate the location of the decision threshold for the reported accuracy, sensitivity, and specificity
图 3 在测试集上评估的遗传和组织学特征的接收者操作特性(ROC)曲线。交叉点标示了报告的准确性、敏感性和特异性的决策阈值位置。

Fig. 4 Dice scores, Hausdorff distances, and volumetric similarity coefficients for all patients in the test set.
图 4测试集中所有患者的Dice分数、豪斯多夫距离和体积相似性系数。
Table
表

Table 1. Patient Characteristics for the Train and Test Sets
表 1. 训练集和测试集的患者特征

Table 2. Evaluation Results of the Final Model on the Test Set
表 2. 最终模型在测试集上的评估结果