2025.12.31
本文提出一种基于流的截断去噪扩散模型(FTDDM),通过截断扩散链并结合流网络估计截断点处的噪声图像,实现了高性能、采样高效的多尺度超分辨率磁共振波谱成像,并通过神经放射科医生的评估证实了其临床优势和可调锐度功能。
Title题目
01
A Flow-based Truncated Denoising Diffusion Model for super-resolution Magnetic Resonance Spectroscopic Imaging
一种用于超分辨率磁共振波谱成像的基于流的截断去噪扩散模型
文献速递介绍
02
磁共振波谱成像(MRSI)是一种非侵入性技术,用于研究体内代谢,对神经退行性疾病、癌症和糖尿病的理解至关重要。虽然高分辨率MRSI对于表征小病灶和病灶内异质性是必需的,但由于代谢物浓度低,受时间与灵敏度限制,实际中MRSI通常以低分辨率获取。传统后处理方法主要依赖模型化正则化,结合MRI信息并强制空间平滑,但这可能导致对MRI信息的过度依赖、过度平滑以及耗时的优化过程。深度学习方法在医学图像超分辨率任务中展现出巨大潜力,但早期方法因缺乏公共MRSI训练数据集而使用合成数据,存在真实性问题。尽管引入了体内MRSI数据集,但基于GAN的方法存在训练不稳定和模式崩溃的风险。基于流的方法虽然训练稳定且可解释,但受限于可逆神经网络的架构。近期,扩散模型在生成任务中表现出色,但其采样过程因需要大量扩散步骤而速度慢。本文受TDPM启发,提出FTDDM,通过截断扩散链并使用归一化流网络估计截断点处的噪声图像,实现了高性能、采样高效的MRSI超分辨率。此外,通过网络条件化实现多尺度超分辨率,并引入温度参数调节图像锐度。研究使用了一个包含25名高级别胶质瘤患者的体内1H-MRSI数据集进行训练和评估,实验结果显示FTDDM优于现有生成模型,采样速度提高9倍以上,并获得神经放射科医生的临床评估认可。
Aastract摘要
02
磁共振波谱成像(MRSI)是一种用于研究代谢的非侵入性成像技术,在神经系统疾病、癌症和糖尿病的理解中扮演着关键角色。高空间分辨率MRSI对于病灶表征至关重要,但受限于低代谢物浓度带来的时间和灵敏度限制,实际MRSI通常以低分辨率获取。因此,迫切需要一种后处理方法,能够从快速高灵敏度获取的低分辨率数据中生成高分辨率MRSI。基于深度学习的超分辨率方法已在提高MRSI空间分辨率方面展现出潜力,但其生成准确高质量图像的能力仍有限。近期,扩散模型在各种任务中展现出优于其他生成模型的学习能力,但其采样过程需要迭代大量扩散步骤,耗时较长。本研究引入了一种基于流的截断去噪扩散模型(FTDDM),通过截断扩散链来缩短扩散过程,并使用基于归一化流的网络估计截断步骤。该网络通过上采样因子进行条件化,以实现多尺度超分辨率。为训练和评估深度学习模型,我们开发了一个包含25名高级别胶质瘤患者的1H-MRSI数据集。结果表明,FTDDM优于现有生成模型,且与基线扩散模型相比,采样过程加速了9倍以上。神经放射科医生的评估证实了我们方法的临床优势,该方法还支持不确定性估计和锐度调节,扩展了其潜在的临床应用。
Method方法
03
本文首先介绍了数据集的获取和预处理。研究采集了25名高级别胶质瘤患者的3D高分辨率1H-MRSI、T1加权(MP2RAGE)和FLAIR扫描,使用7T MRI设备。MRSI序列在15分钟内获得3.4 × 3.4 × 3.4 mm3分辨率的3D代谢图。T1和FLAIR MRI进行颅骨剥离并与MRSI共配准。MRSI谱通过LCModel量化得到3D代谢图,并使用质量过滤掩膜剔除质量不足的体素。研究关注七种主要肿瘤代谢标志物。从每个3D MRSI扫描中选取9-18个轴位切片,生成2275个2D代谢图作为高分辨率真实值,通过k空间截断生成低分辨率图像。接着,介绍了截断去噪扩散模型,该模型通过在Ttrunc处截断扩散链,并从噪声图像xTtrunc而非纯高斯噪声开始反向去噪过程,以缩短采样时间。使用一个去噪UNet估算噪声,并以低分辨率代谢图、质量过滤掩膜、T1 MRI和FLAIR MRI作为条件。该Denoising UNet的详细架构基于Nichol和Dhariwal的提案。为了实现多尺度超分辨率,模型通过条件实例归一化将上采样因子s注入到去噪UNet中。然后,描述了基于归一化流的噪声图像生成网络,该网络通过一系列可逆变换将xTtrunc转换为潜在高斯变量z,并通过最大化似然进行训练,辅以指导损失Lguide以鼓励生成的噪声图像xTtrunc围绕x0。指导损失结合了像素损失和结构损失。最后,总结了FTDDM的整体采样算法,该算法通过流网络生成截断点处的噪声图像,然后使用去噪UNet迭代地从该噪声图像生成干净的高分辨率MRSI图像,并通过温度参数τd灵活调整生成图像的锐度。
Discussion讨论
04
本研究的讨论部分深入探讨了FTDDM模型在超分辨率磁共振波谱成像(MRSI)方面的优势、其设计元素的有效性以及临床应用潜力。定量评估结果明确指出FTDDM在NRMSE、PSNR和SSIM等指标上超越了现有的基于GAN和归一化流的生成模型,并显著提升了采样效率,相较于传统扩散模型实现了9倍以上的加速。这主要归因于FTDDM通过截断扩散链并结合归一化流网络在截断点生成噪声图像的创新机制。定性分析进一步证实了FTDDM在图像质量和肿瘤可视化方面的卓越表现,生成的图像细节更清晰、肿瘤特征更接近真实值,并且误差图上的伪影明显减少。不确定性估计功能为临床解释提供了重要支持。消融研究强调了扩散模型与归一化流模型结合的重要性,并揭示了质量过滤掩膜作为条件图像的关键作用。令人惊讶的是,T1和FLAIR MRI的去除对性能影响微乎其微,这表明在体内MRSI数据集中,MRIs提供的解剖信息与MRSI代谢信息之间的相关性可能不如预期,挑战了传统上严重依赖MRI正则化的超分辨率MRSI方法的有效性。Ttrunc的灵活选择允许在性能和加速之间进行权衡,当Ttrunc=50时甚至能达到20倍的加速,这在实际应用中具有重要意义。网络条件化机制的有效性确保了模型能够根据不同的上采样因子进行自适应调整,实现了多尺度超分辨率。锐度调节功能则提供了临床医生根据需求调整图像视觉质量的灵活性。神经放射科医生的盲评结果为FTDDM的临床优势提供了强有力的验证,表明其生成的超分辨率图像在临床诊断中具有高度可用性。对最低输入分辨率的评估设定了FTDDM的应用边界,指导了未来低分辨率MRSI数据的采集策略。此外,该方法将快速、低分辨率扫描转换为高分辨率代谢图的能力,显著缩短了扫描时间,这对于将MRSI整合到日常临床实践中具有巨大的临床价值,并有助于减少患者运动伪影。
Conclusion结论
05
本研究提出了一种新颖的基于流的截断去噪扩散模型(FTDDM)用于超分辨率磁共振波谱成像(MRSI)。该方法通过截断扩散链来加速扩散模型的采样过程,并利用一个基于归一化流的网络直接从高斯噪声估计截断点处的噪声图像。扩散网络通过上采样因子进行条件化,实现了多尺度超分辨率。此外,模型中引入了一个温度参数以支持图像锐度调整。在自行开发的体内1H-MRSI数据集上的实验结果表明,FTDDM优于其他深度学习模型,并且在不损失图像质量的前提下,比传统扩散模型实现了超过9倍的加速。神经放射科医生的评估从临床角度证实了所提出方法的卓越图像质量,并协助确定了最低可操作分辨率。据我们所知,这是首次开发基于深度学习的超分辨率模型并对体内MRSI数据集进行全面评估。未来的工作可以包括纳入来自其他MRI系统和/或不同肿瘤类型的更多数据集,以提高该方法的泛化性和鲁棒性。所提出的模型还可以扩展到氘代谢成像(DMI)领域。
Results结果
06
本文进行了5折交叉验证,训练集、验证集和测试集分别使用15、5、5名患者的数据。低分辨率在训练期间从13个值中均匀采样,对应不同的上采样因子。Denoising UNet采用四阶段下采样和四阶段上采样,每阶段包含三个卷积残差块。扩散模型共使用T=1000步,FTDDM在Ttrunc=100步截断,实现约10倍加速。温度参数τd和τf均设为0.9。实验进行了FTDDM与其他最先进深度学习模型(MUNet-FS-cWGAN、Flow Enhancer、DDPM及其变体、TDPM)的定量和定性比较。定量评估指标包括NRMSE、PSNR和SSIM,采样效率通过NFE衡量。结果显示,FTDDM在所有评估指标上均优于GAN和流模型,且在与传统DDPM相比时,采样速度提升超过9倍。相比于DDPM的简单重采样方法和DPM-Solver++,FTDDM表现更佳。在定性评估中,FTDDM在图像质量和肿瘤可视化方面优于其他方法,生成的肿瘤特征与真实情况最接近,且误差图中的亮点更少。FTDDM的不确定性图显示大脑边缘区域不确定性更显著,与文献记载的信号失真一致。消融研究表明,扩散模型和归一化流模型的结合显著优于单一模型。去除质量过滤掩膜导致性能显著下降,而去除T1和FLAIR MRI对性能影响甚微,表明MRI与MRSI的相关性可能在体内数据集中不那么重要。指导损失有助于提升模型性能。Ttrunc的选择研究发现,在Ttrunc=50时,FTDDM可达到与未加速DDPM相似的性能,实现约20倍加速。将DPM-Solver++与FTDDM结合可进一步减少采样步数,但会略微降低性能。网络条件化研究证实,当条件上采样因子与实际因子匹配时,模型性能最佳。锐度可调性研究表明,温度参数τd可在图像视觉质量和保真度之间进行权衡,τd=0.9被认为是最佳选择。神经放射科医生的盲评结果显示,经过FTDDM超分辨率处理的图像在所有评估指标上均获得了显著改善,超过87%的图像被评为“优秀”。对极低分辨率的评估发现,FTDDM对分辨率高于6 × 6 × 39的MRSI数据保持良好性能,低于此分辨率可能会失效。临床价值方面,FTDDM能将低分辨率、快速扫描转化为高分辨率代谢图,显著减少扫描时间,有望使MRSI融入常规临床神经影像协议。
Figure图
07

图1.(a) 传统扩散模型DDPM和(b) 我们的方法FTDDM的比较。x0是无噪声高分辨率MRSI代谢图。前向扩散过程逐渐向x0添加高斯噪声。噪声仅添加到质量过滤掩膜定义的感兴趣区域,以避免在反向扩散过程中抑制背景噪声的必要性。反向扩散过程使用参数θ的去噪网络,在给定任何条件图像y的情况下,回溯前向扩散过程。Fφ−1是归一化流网络的逆,用于弥合纯高斯噪声z与截断点xTtrunc处的噪声图像之间的差距。

图2. 所提出方法的概述。截断去噪扩散模型采用一个去噪UNet迭代估计并去除xTtrunc中的噪声,生成无噪声高分辨率MRSI代谢图x0。去噪UNet还接收条件y,它是低分辨率(LR)代谢图、质量过滤掩膜M、T1 MRI和FLAIR MRI的拼接,即y={LR, M, T1, FLAIR}。去噪UNet由残差网络(ResNet)块和条件实例归一化(CIN)组成。CIN将时间步t和上采样因子s嵌入到网络中。中间的块具有多头注意力(Attn)模块,遵循Nichol和Dhariwal(2021)的设计。xTtrunc通过基于流的噪声图像生成网络从高斯噪声z生成,该网络包含多维度的系列流层,与Dong et al.(2022c)一致。每个流层包含条件仿射耦合、仿射注入器、可逆1×1卷积和激活归一化(Lugmayr et al.,2020)。条件图像y通过条件网络(Condition Net)注入到流层中,条件网络由卷积层和LeakyReLU组成。

图3. FTDDM与其他方法在s=4.0上采样因子下的定性比较。两个示例分别是患者p1的tCr图像和患者p2的Gly图像。FLAIR MRI提供相应的解剖参考,肿瘤由红色虚线描绘。每个代谢图都附带其误差图,除了真实值。请注意,真实值下方以红色框出的图像是50个FTDDM样本的标准差图,可用于不确定性估计(它们不是真实值的误差图)。

图4. FTDDM与其他方法在s=8.0上采样因子下的定性比较。两个示例分别是患者p3的tCh图像和患者p4的Glu图像。

图5. DDPM、DDPM重采样、DPM-Solver++、TDPM和FTDDM在不同采样步数(DDPM重采样的Trespace,DPM-Solver++的Tsolver,TDPM和FTDDM的Ttrunc)下的模型性能。

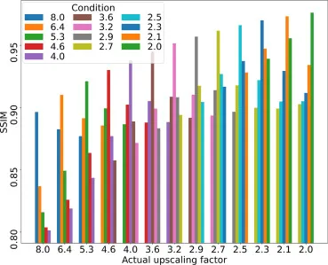
图6. 模型性能(以SSIM衡量)在实际放大因子(横轴)和条件放大因子(彩色条)的不同组合下的表现。为简洁起见,每个实际放大因子仅显示5个相邻条件值。

图7. 使用τd进行锐度调整。(a) 网络在不同τd水平下的PSNR、SSIM和LPIPS性能。LPIPS越低越好(↓)。(b) 超分辨率Ins图像在不同τd下与真实值(GT)的视觉锐度比较。FLAIR中肿瘤由红色虚线描绘。

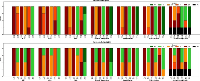
8. 基于神经放射科医生评分的图像质量评估。低分辨率(LR)图像和FTDDM生成的超分辨率(SR)图像的质量由神经放射科医生1和2进行盲审。横轴显示评估指标。每个彩色条表示获得特定分数的图像数量。评分系统为:NA(不适用),10(差),30(不好),50(一般),70(好)和90(优秀)。

图9. 包含肿瘤的切片中7种代谢物的低分辨率(8×8零填充)、FTDDM超分辨率和真实图像的可视化。第一行显示T1 MRI、FLAIR MRI和NAA的质量过滤掩膜示例。FLAIR中肿瘤由红色虚线描绘。

图10. 三种极低分辨率2×2、4×4和6×6的图像质量评估。由于空间限制,仅显示了最具代表性的一部分评估指标。对于横轴上显示的每个指标,呈现了2×2、4×4和6×6(括号中的数字表示)的低分辨率(LR)图像及其对应的超分辨率(SR)图像的评分。